Экспериментальные исследования и согласованное описание термодинамики многокомпонентных металлических расплавов
введение

Исследование термодинамических свойств компонентов в многокомпонентных расплавах на основе железа и никеля, прогноз состава образующихся соединений и неметаллических включений невозможен без учета термодинамических свойств компонентов металлургических расплавов. В большинстве систем нет надежного описания концентрационных зависимостей термодинамических свойств в широком интервале температур и концентраций. Имеется значительный разброс экспериментальных данных и параметров взаимодействия. В лаборатории диагностики материалов разрабатываются методы калориметрического исследования и согласованного термодинамического описания на основе применения физико-химических моделей термодинамических свойств многокомпонентных расплавов на основе железа и никеля.

высокотемпературный калориметр смешения

Был разработан и сконструирован оригинальный высокотемпературный изопериболический микрокалориметр смешения для исследования теплот образования растворов как с сильным, так и со слабым взаимодействием [1]. Конструкция калориметрического ядра имеет ряд существенных отличий от известных конструкций. Для достижения более высокой чувствительности радикально уменьшена масса (теплоемкость) ячейки. Для уменьшения теплообмена между рабочими спаями и спаями сравнения расположены отражательные экраны как наиболее эффективные термические сопротивления при высоких температурах. Массивный блок оснащен приспособлением для предварительного нагрева сбрасываемых образцов до температуры калориметрического ядра. Калориметрическая установка создана на базе вакуумной печи сопротивления СШВЭ-1.2,5/25-И2.

Калориметр позволяет исследовать энтальпии образования металлических расплавов при температурах до 2000К.

Общая схема калориметра является традиционной для приборов данного класса и представлена на рис.1. Внутри водо-охлаждаемого корпуса (1) и системы отражательных экранов (2) находится нагреватель из молибденового листа (3), обеспечивающий достижение рабочей температуры. В изотермической зоне нагревателя на системе подставок и теплоизоляторов (4) размещено ядро калориметра, состоящее из массивного молибденового блока (5) и измерительной ячейки (6) с керамическим тиглем (7). Предварительно взвешенные добавки исследуемого материала сбрасываются в тигель из барабанного дозатора (8) через систему молибденовых направляющих трубок (9).


Pис. 1:  Принципиальная схема изопериболического калориметра смешения

Дозатор оснащен вакуумным шлюзом и возможностью предварительной высоковакуумной откачки, что позволяет многократно перезаряжать барабан с образцами во время эксперимента. Ядро калориметра оснащено приспособлением для предварительного нагрева добавок до температуры опыта непосредственно в ячейке, состоящим из затвора (10), поворотного штока (11) и шарнирной передачи (12). Предварительный разогрев образцов необходим для измерения теплоты растворения добавки без учета изменения энтальпии ее нагрева от начальной (комнатной) температуры до температуры опыта. Использование приспособления для подогрева образцов возможно для тугоплавких материалов с температурой плавления, превышающей температуру опыта. Схема разработанного калориметрического ядра представлена на рис.2.


Pис. 2:  Схема калориметрической ячейки

Массивный молибденовый блок состоит из нижней части (1) и крышки (2). Образец исследуемого материала через направляющую воронку (3) попадает в тело крышки (2) на вольфрамовый затвор (6) и нагревается до рабочей температуры блока. Абсолютная температура блока измеряется термопарой (7) типа ВР-5/20. Поворотом шарнирной передачи (4) затвор кратковременно отводится в сторону и нагретый образец сбрасывается в тигель с расплавом (5). Для измерения теплового эффекта растворения, используется дифференциальная термобатарея из термопарной проволоки ВР-5/20, в оболочке из алундовой соломки. Корона рабочих спаев (11) окружает тигель с расплавом, касаясь его. Спаи сравнения (9) находятся в непосредственной близости от дна массивного блока. Вывод термобатареи (10) проходит через отверстие в днище блока. Термическое сопротивление между "коронами" рабочих и сравнительных спаев состоит из огнеупорной засыпки (11) и пяти молибденовых отражательных экранов (12). Верхний и нижний экраны выполнены из вольфрамового листа, средние — из молибденовой жести. Однослойный отражательный экран (13) "приближает" температуру рабочих спаев (11) к температуре тигля с расплавом (5).

Чувствительность калориметра при температуре 1823К имеет порядок 0.1 мВ/Вт. Это дает возможность работать с малыми количествами исследуемых веществ (масса сбрасываемого образца -0.03-0.20г при массе расплава 5-30г ). Измерительные спаи термопары, окружающие тигель, показывают усредненную температуру расплава. Это исключает зависимость регистрируемой термограммы от геометрического места падения добавки в тигель и позволяет рассматривать калориметрическую систему как объект с сосредоточенными параметрами. Минимизация влияния температурных и концентрационных неоднородностей при измерениях в расплавах малого объема, устраняет необходимость перемешивания расплава в процессе эксперимента. Калориметрическая ячейка отличается малым временем релаксации температуры, что обусловливает высокую чувствительность прибора.

исследования

Проведено согласованное термодинамическое описание расплавов системы Fe-Si по модели квазиидеальных ассоциированных растворов с использованием измеренных при 1873К энтальпий образования жидких сплавов и различных термодинамических экспериментальных данных. Получены значения параметров модели, позволяющие с использованием приведенных уравнений рассчитывать достоверные значения термодинамических функций расплавов Fe-Si во всем диапазоне концентраций.

На основе результатов собственных экспериментальных исследований энтальпий смешения расплавов системы Ni-Cr при 1823К и литературных данных проведено согласованное компьютерное описание термодинамических свойств компонентов расплавов в широком интервале температур и концентраций. Для описания термодинамических свойств расплавов системы была использована модель субрегулярных растворов с температурной зависимостью коэффициентов модели. Минимизация проводилась с использованием варианта метода Ньютона-Гаусса и градиентного метода. Результаты находятся в хорошем соответствии с фазовой диаграммой состояния и экспериментальными данными. Парциальная энтальпия растворения жидкого хрома характеризуется знакопеременной зависимостью от содержания хрома в исследованном диапазоне концентраций. Полученный S-образный характер кривых активностей свидетельствует об изменении характера взаимодействия компонентов расплава при увеличении содержания хрома. Значения начальной энтальпии растворения хрома в никеле хорошо согласуются с результатами настоящего исследования.

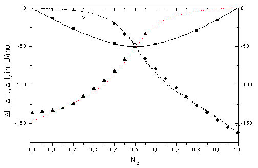
Экспериментально получены концентрационные зависимости парциальных мольных и интегральных энтальпий смешения алюминия в никеле при 1823К до мольной доли алюминия 0.22. Проведено согласованное термодинамическое описание расплавов системы Al-Ni по модели квазиидеальных ассоциированных растворов с использованием различных термодинамических экспериментальных данных.


Pис. 3:  Расчетные и экспериментальные значений парциальных мольных и интегральных энтальпий смешения ΔH расплавов системы Al-Ni.


Интегральные энтальпии:
— расчет по модели при 1923 К
, , — данные В.М.Сандакова, Ю.О.Есина, П.В.Гельда 1923 К
— данные настоящего исследования при 1823 К.
Парциальные энтальпии смешения:
— никеля (расчет по модели)
— алюминия (расчет по модели) при 1923 К и 1873К
— данные О.И. Островского, В.В. Мясникова, В.В. Плюшкина, А.Я. Стомахина и В.А. Григоряна.

Выполненные расчеты по модели квазиидеальных ассоциированных растворов позволили провести сравнительный анализ достоверности всех полученных экспериментальных данных.

Проведено согласованное описание термодинамических свойств растворов системы Ni-Cr-Al на основе полученных экспериментальных данных в бинарных системах, рассчитаны изолинии интегральных энтальпий смешения расплавов при 1823К. Сравнение расчетных значений с данными экспериментальных исследований показало удовлетворительное согласие.

исследование термодинамических свойств кислорода в расплавах на основе железа и никеля

Предельная растворимость кислорода в расплавах Ni-Cr в интервале концентраций хрома до 27% ат. при температурах 1773К и 1873К изучена экспериментально. Электрохимическими датчиками с твердым электролитом из диоксида циркония, стабилизированного оксидом иттрия ZrO2(Y2O3) и проведено измерение э.д.с в. Показано, что равновесной оксидной фазой при раскислении никеля хромом в изученном концентрационном интервале является оксид Сr2O3. Рассчитаны значения коэффициентов активности кислорода в расплаве и температурная зависимость параметра взаимодействия. Получено уравнения, описывающие концентрационную и температурную зависимости коэффициентов активности кислорода в интервалах температуры от 1773 до 1893К и мольной доли хрома до 0.3.

Проведен термодинамический анализ процесса раскисления в многокомпонентных расплавах на основе железа и никеля. Рассчитаны зависимости константы равновесия реакции раскисления расплавов Fe-Ni хромом, марганцем, ванадием, кремнием, титаном и алюминием от содержания в расплаве никеля и элемента-раскислителя при 1873 К. Рассчитаны зависимости насыщенной концентрации кислорода от содержания хрома, марганца, ванадия, кремния, титана и алюминия в расплавах Fe-Ni при 1873К.

Исследована термодинамика растворов кислорода в расплавах Fe-40 % Ni, содержащих Мп и Si, в температурном интервале 1823—1923К. Показано, что с понижением температуры раскислительная способность как марганца, так и кремния возрастает. В расплавах Fe-40 % Ni в обоих случаях она выше, чем в железе, но ниже, чем в никеле. При совместном раскислении марганцем и кремнием можно получить более низкие концентрации кислорода в металле, чем при раздельном раскислении, за счет понижения активностей оксида марганца и кремнезема.

В расплавах Fe-Si прямыми измерениями и термодинамическим расчетом определена растворимость кислорода в равновесии с SiO2 в интервале концентраций от 0,1 до 100 масс.% Si при 1873 К. Содержание кислорода в образцах определяли методом восстановительного плавления в потоке газа-носителя.


Pис. 4:  Растворимость кислорода в расплавах Fe-Si в равновесии с SiO2

Показано, что изотерма растворимости кислорода имеет как минимум, так и максимум при 20 и 85 масс.% Si, соответственно. Равновесные значения содержания кислорода при этом составляют 1,4 и 94 мкг/г. Установлено, что коэффициент активности кислорода имеет знакопеременные отклонения от аддитивного поведения: положительные - в богатых железом расплавах (до 45 масс.% Si) и отрицательные - в расплавах с большим содержанием кремния. Рассчитаны значения параметров взаимодействия Вагнера

Проведенные в лаборатории Диагностики материалов исследования описаны в литературе приведенной в списке.

литература
Ошибка при получении списка публикаций: Login failed for user 'gorokhov'.



Rambler's Top100